2022年海南中考录取分数线是多少_海南中考分数线2022

亲子育儿网

  中考事后,各人都但愿早点发布2022年海南中考登科分数线,中考分数线抉择着孩子上哪所高中,那么,2022年海南中考登科分数线是几多?下面就为各人整理了2022年海南中考登科分数线一览表,仅供参考。想要获取更多信息,请点击下方查询进口。

2022年海南中考登科分数线是几多,海南中考分数线2022

亲子育儿学习网

内容来自ynyoujiao


  2022年海南中考登科分数线

  2022年海南中考登科分数线暂未发布,假如有最新关于2022海南中考分数线的信息,我们会更新到这里,为了给各人更多的参考,我们也为各人整理了2021年海南中考登科分数线以及海南中考后果查询进口,各人下拉即可会见。

  海南2021年中考分数线

  1、海南省中等学校招生提前批投档分数线(一)

幼教网,育儿网

  

2022年海南中考登科分数线是几多_海南中考分数线2022 本文来亲子育儿网

ynyoujiao.com

  

2022年海南中考登科分数线是几多_海南中考分数线2022 ynyoujiao.com

内容来自ynyoujiao

  

2022年海南中考登科分数线是几多_海南中考分数线2022 幼教网,育儿网

内容来自ynyoujiao

  

2022年海南中考登科分数线是几多_海南中考分数线2022 copyright ynyoujiao

本文来亲子育儿网

  海南省中招第一批(A段)投档分数线

copyright ynyoujiao

  

2022年海南中考登科分数线是几多_海南中考分数线2022

ynyoujiao.com

ynyoujiao.com

  

2022年海南中考登科分数线是几多_海南中考分数线2022 亲子育儿学习网

copyright ynyoujiao

  

2022年海南中考登科分数线是几多_海南中考分数线2022

幼教网,育儿网

内容来自ynyoujiao

  

2022年海南中考登科分数线是几多_海南中考分数线2022

幼教网,育儿网

幼教网,育儿网

  

2022年海南中考登科分数线是几多_海南中考分数线2022 本文来亲子育儿网

本文来亲子育儿网

  中招第一批(B段)投档分数线

幼教网,育儿网

  

2022年海南中考登科分数线是几多_海南中考分数线2022 亲子育儿学习网

copyright ynyoujiao

2022年海南中考登科分数线是几多_海南中考分数线2022

copyright ynyoujiao

本文来亲子育儿网

2022年海南中考登科分数线是几多_海南中考分数线2022 本文来亲子育儿网

亲子育儿学习网

2022年海南中考登科分数线是几多_海南中考分数线2022

幼教网,育儿网

亲子育儿学习网

2022年海南中考登科分数线是几多_海南中考分数线2022

亲子育儿学习网

ynyoujiao.com

2022年海南中考登科分数线是几多_海南中考分数线2022

本文来亲子育儿网

copyright ynyoujiao

2022年海南中考登科分数线是几多_海南中考分数线2022 亲子育儿学习网

幼教网,育儿网

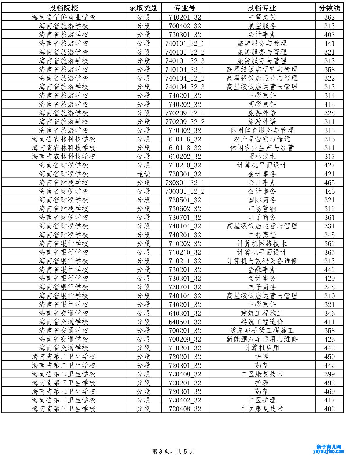
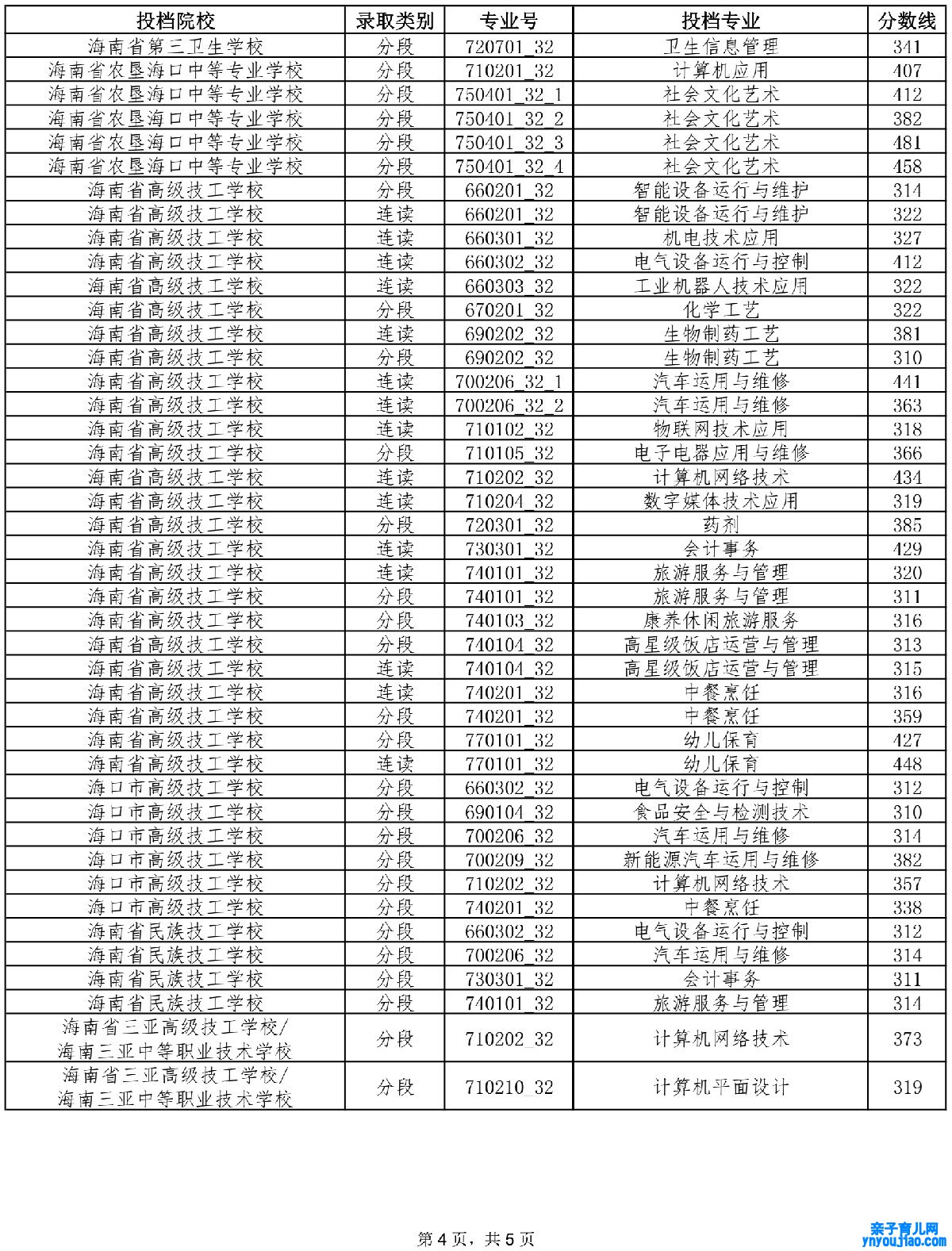
2021年海南中考第三批投档分数线

本文来亲子育儿网

内容来自ynyoujiao

2021年海南中考第三批投档分数线 内容来自ynyoujiao

幼教网,育儿网

2021年海南中考第三批投档分数线

亲子育儿学习网

亲子育儿学习网

  2021年海南省普通高中学校登科最低节制分数线 内容来自ynyoujiao

  一、在少数民族聚居市县(含汉族地域少数民族聚居乡镇)初中学校结业的考生为360分。

亲子育儿学习网

  二、在汉族地域初中学校结业的考生为410分。

本文来亲子育儿网

  各普通高中学校登科考生必需严格执行以上最低节制分数线(特永生除外),幼儿教育网,省中招办将通过技妙手段监控并限制低于最低节制分数线的考生 在中招登科打点系统长举办登科,违规入读的不予治理学籍。

内容来自ynyoujiao

  附:少数民族聚居市县及汉族地域少数民族聚居乡镇初中学校一览 本文来亲子育儿网

  

2022年海南中考登科分数线是几多_海南中考分数线2022

亲子育儿学习网

copyright ynyoujiao

  2022年海南中考后果查询网站进口

  海南省测验局,网址:,需要到学生就读学校查询。

  2022年海南中考登科分数线就为各人先容到这里,更多关于2022中考后果查询时间及方法、2022中考分数线一览表、2022中考应试计策,请点击会见:2022中考资讯栏目。
  
 

copyright ynyoujiao

育儿网

2022年高考成绩查询时间及查询入口汇总

一年一度的高考,让各人既等候又告急,那么, 2022年高考后果查询时间是什么时候?在那边查?怎么查? 为了让介入2022年的考生们越发定心备考,特为各人提前筹备了 2022年高考成... 详情

海南2021年高考成绩查询时间_海南高考成绩什么时间公布

2021高考在同学们的欢呼雀跃声中落下帷幕,许多考生不知道本年海南高考分数什么时候出来,下面就为各人筹备了 海南2021年高考后果查询时间 ,这样各人到时候就能查到本身 2021年... 详情

2021年河南中考作文题目大全_河南2021中考作文题汇总

2021年河南各地中考作文题目是什么?通过中考作文可以或许观察学生作文素材积聚环境以及写作程度,那么,2021年河南中考作文题目难吗?下面为各人筹备了 2021年河南中考作文题目大全... 详情

本文标签:2022年    中考    海南    多少    分数线    录取    2022    

最新亲子育儿文章